সার্চ
শিক্ষা সংবাদ
দশম
ইংরেজি ১ম পত্র
ইংরেজি ২য় পত্র
Composition
Paragraph
জীববিজ্ঞান
পদাথ
রসায়ন
বাংলা ১ম পত্র
বাংলাদেশ ও বিশ্বপরিচয়
সাধারণ গণিত
Cheapter-1
বাংলা ২য় পত্র
নবম
English
Opinion Matters
অনুসন্ধান বিজ্ঞান
অষ্টম
English
Beauty in Poetry
৭ম
৬ষ্ঠ
English
ফলাফল
তথ্য ও প্রযুক্তি
ইসলামিক তথ্য
সাধারণ জ্ঞান
HSC
English 1st paper
Grammar
হোমপেজ
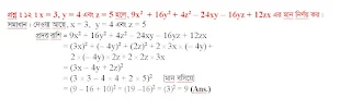
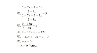
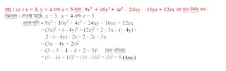
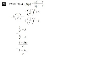
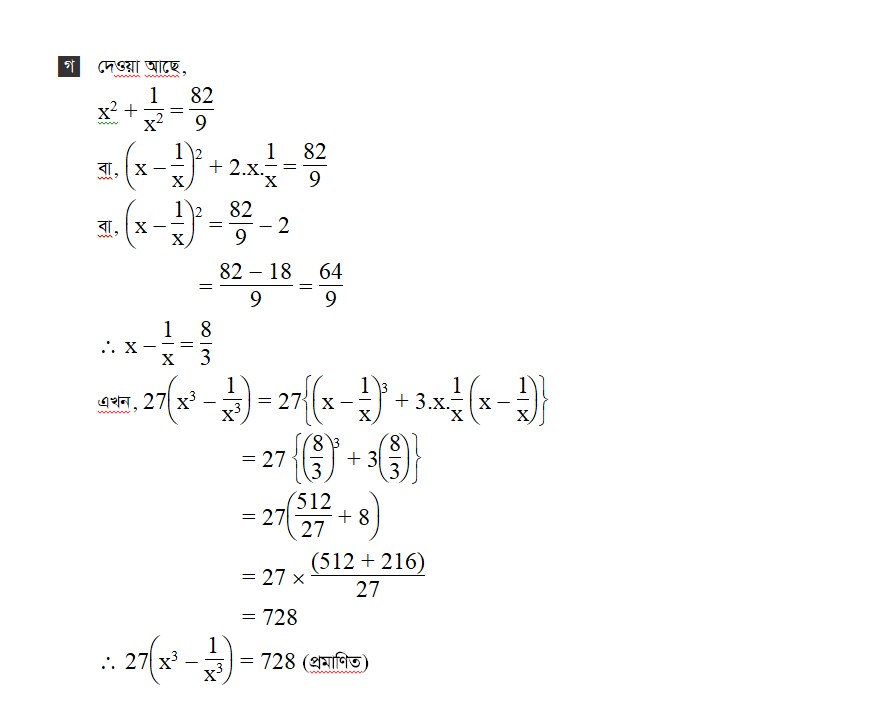
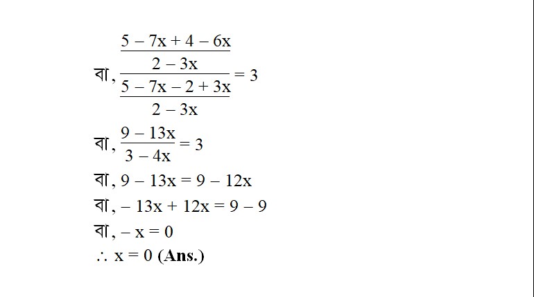
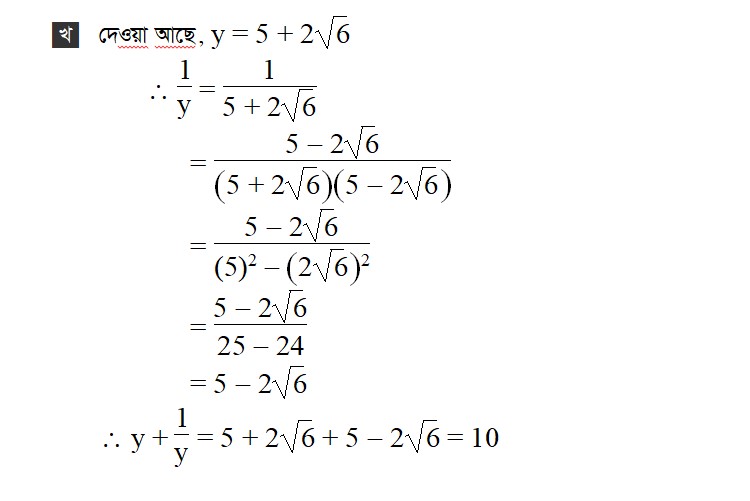
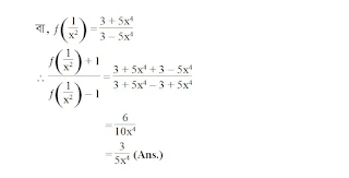
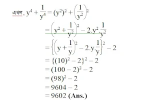
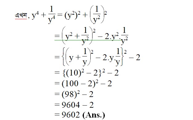
নবম দশব শ্রেণির সাধারণ গণিতের সৃজনশীল
justify
১২ মার্চ, ২০২৫
এই পোস্টটি পরিচিতদের সাথে শেয়ার করুন
পূর্বের পোস্ট দেখুন
পরবর্তী পোস্ট দেখুন
এই পোস্টে এখনো কেউ মন্তব্য করে নি
মন্তব্য করতে এখানে ক্লিক করুন
অর্ডিনারি আইটির
নীতিমালা
মেনে কমেন্ট করুন। প্রতিটি কমেন্ট রিভিউ করা হয়।
comment url
ওয়েবসাইট আর্কাইভ
মে 2025
[5]
মার্চ 2025
[4]
ফেব্রুয়ারী 2025
[3]
জানুয়ারী 2025
[7]
ডিসেম্বর 2024
[9]
সেপ্টেম্বর 2024
[2]
জুন 2024
[1]
মে 2024
[1]
এপ্রিল 2024
[14]
মার্চ 2024
[18]
সর্বশেষ প্রকাশিত পোস্ট সমূহ
অর্ডিনারি আইটির নীতিমালা মেনে কমেন্ট করুন। প্রতিটি কমেন্ট রিভিউ করা হয়।
comment url